推薦企業新聞
-
水泵行業發展前景及剖析
2021年10/11 - 09:04:02
-
半閉式葉輪自吸離心泵
2021年10/11 - 09:03:57
-
水泵按時檢修方式 專業知識
2021年10/11 - 09:03:54
-
往復泵閥的功效是啥
2021年10/08 - 13:26:28
-
化工泵選型時要特別注意些哪些
2021年10/08 - 13:26:26
-
水泵的操縱方式如何
2021年10/08 - 13:26:25
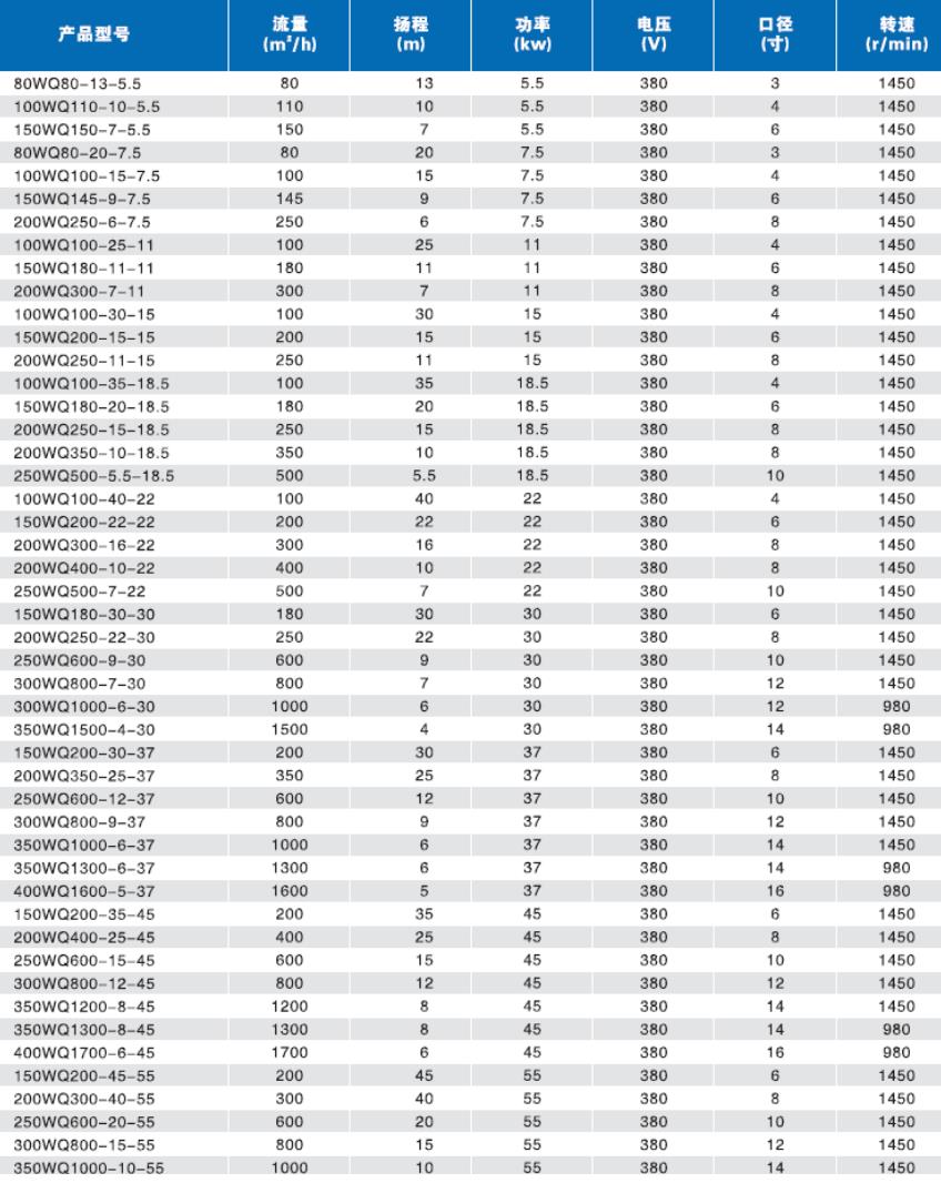
污水泵口徑是外徑嗎 污水泵口徑尺寸對照表
污水泵的出水口徑是外徑還是內徑,其實污水泵的出水口徑是直接決定水泵的揚程和流量的,所以按照污水泵口徑尺寸對照表要選擇出適合使用環境及條件的污水泵,下面我們就來詳細的介紹一下污水泵口徑是不是外徑,以及污水泵口徑尺寸對照表。

污水泵口徑是外徑嗎
污水泵的管子直徑可分為外徑、內徑、公稱直徑,所以污水泵有一個內徑和一個外徑,污水泵出水口口徑越小流量就越小,揚程越高,出水口口徑越大流量就越大,揚程越低。所以污水泵出水口口徑外徑大,內徑小,污水泵外徑在不變的情況下,污水泵內徑是無法提高水泵的揚程,水泵的揚程是由內徑直接決定的。
污水泵口徑尺寸對照表

污水泵使用環境及條件
1、電源頻率50Hz
2、額定電壓為380V或660V(允差為:5%)的三相交流電源
3、輸送介質的固體物的容積比在2%以下
4、輸送介質密度最大為1.2x103kg/m3
5、輸送介質自PH值為4~10
6、輸送介質溫度不超過40℃
污水泵口徑是內徑,污水泵口徑尺寸1英寸=25.4mm,污水泵使用環境及條件是有標準的,按照污水泵口徑尺寸對照表就可以很清楚的了解到污水泵的型號、流量、揚程、功率、電壓、口徑、轉速,所以在選擇污水泵的時候要特別注意使用環境條件、型號和口徑的大小。
-
上海市盛納水泵廠自吸泵原理剖析2021-03-09
-
離心泵的工作原理知識_離心泵工作原理動畫2021-03-31
-
多級離心泵的結構圖及原理2021-04-02
-
排污泵如何配電纜線2021-03-29
-
自吸式水泵進口管道改小對水泵的危害2021-03-31
-
潛水泵的關鍵技術性特性2021-03-10
-
盛納自吸式水泵測試平臺超過領域水準2021-08-12
-
磁力泵和屏蔽泵的安全性較為2021-08-02




