推薦企業新聞
-
水泵行業發展前景及剖析
2021年10/11 - 09:04:02
-
半閉式葉輪自吸離心泵
2021年10/11 - 09:03:57
-
水泵按時檢修方式 專業知識
2021年10/11 - 09:03:54
-
往復泵閥的功效是啥
2021年10/08 - 13:26:28
-
化工泵選型時要特別注意些哪些
2021年10/08 - 13:26:26
-
水泵的操縱方式如何
2021年10/08 - 13:26:25
如何查看水泵的工作揚程
水泵的工作揚程,怎樣看水泵工作揚程,如何查看水泵的揚程
說白了的水泵的工作揚程是指水泵設備安裝工程早已完工,已經運作的水泵的揚程。
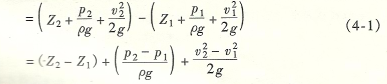
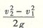
由式(3-2)可知,水泵的揚程H=E2 – E1。下邊就圖4-1所顯示臥式離心泵設備開展剖析。以吸蓄水池河面0-0為基準點,列舉水泵進口橫斷面1-1和水泵出入口橫斷面2—2的動能化學方程。則揚程為
H=E2-E1


式中zl、
——相對應于內孔1-1處的部位水口、工作壓力水口和速率水口(m);
相對應于橫斷面2-2處的部位水口、工作壓力水口和速率水口(m)。
為了更好地查看水泵的工作揚程,在水泵的進、出入口橫斷面處各自安裝負壓表和氣壓表。負壓表和氣壓表的讀值為相對性工作壓力,則有
P1=Pa-Pv
P2=pa pd
式中pa——大氣壓強(Pa);
pv——負壓表讀值(Pa);
pd——氣壓表讀值(Pa)。

由于水泵的吸濕管和壓自來水管管經基本上相同,因此u1、u2區別不大,
能夠忽視;具體工程項目中△Z也不大,還可以忽略。則式(4—5)在具體運用時應寫為
H=Hv Hd (4—6)
式(4—6)便是已經工作的水泵它的工作揚程計算方法,即只需把已經運作中的水泵負壓表和氣壓表讀值(按mHO計)求和,就可獲得該水泵的工作揚程相匹配的工作壓力。
常見的水泵商品有:QBY隔膜泵,單螺桿泵
相關文章:水泵安裝高寬比的測算
上一篇:自吸泵吸水管路的布局安裝標準
下一篇:永磁電機潛水泵框架圖及原理
-
水泵行業發展前景及剖析2021-10-11
-
水泵離心葉輪及機械密封的故障解決2021-09-15
-
50ZX10-40自吸式水泵外觀設計安裝規格_技術參數趨勢圖_價錢2021-09-08
-
全自動自吸式式水泵2021-08-17
-
柴油機離心水泵的工作原理2021-08-16
-
水泵內汽蝕的發生全過程2021-08-13
-
盛納自吸式水泵測試平臺超過領域水準2021-08-12
-
潛水泵拆卸前的準備工作2021-08-09
-
自吸式水泵進口管道改小對水泵的危害2021-03-31
-
盛納自吸式水泵測試平臺超過領域水準2021-08-12
-
排污泵如何配電纜線2021-03-29
-
磁力泵和屏蔽泵的安全性較為2021-08-02
-
多級離心泵的結構圖及原理2021-04-02
-
上海市盛納水泵廠自吸泵原理剖析2021-03-09
-
離心泵的工作原理知識_離心泵工作原理動畫2021-03-31
-
潛水泵的關鍵技術性特性2021-03-10




